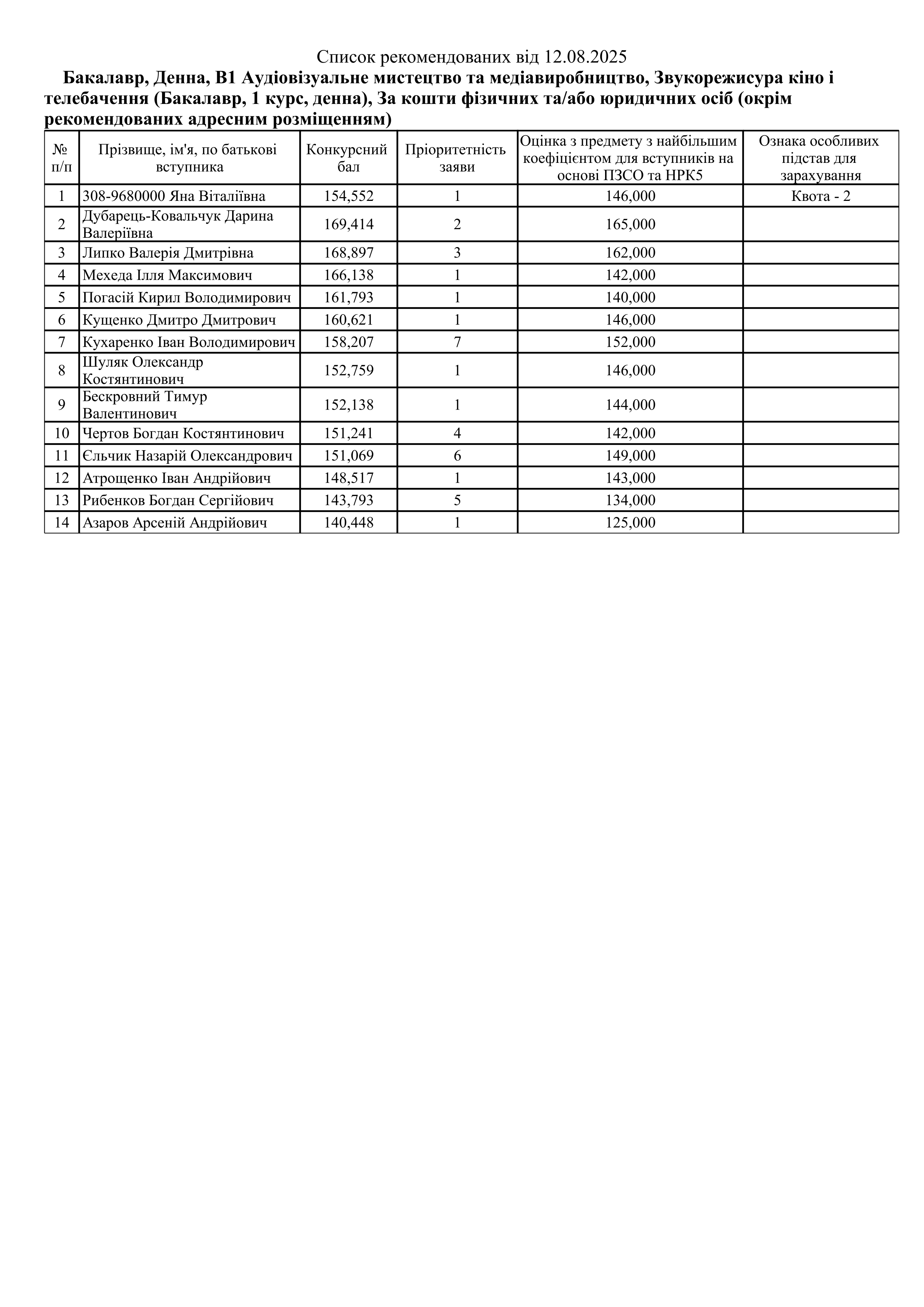
Списки рекомендованих Контракт (ОС Бакалавр)


м. Київ, вул. Євгена Коновальця, 36
тел.: (044) 285-44-03, (044) 285-85-27, (068) 540-55-00, (093) 002-74-00
Пошта: office@knukim.edu.ua, abiturient@knukim.edu.ua
Facebook @KNUKiM
Instagram @knu_kim