Телефони для абітурієнтів: (068) 540-55-00, (093) 002-74-00

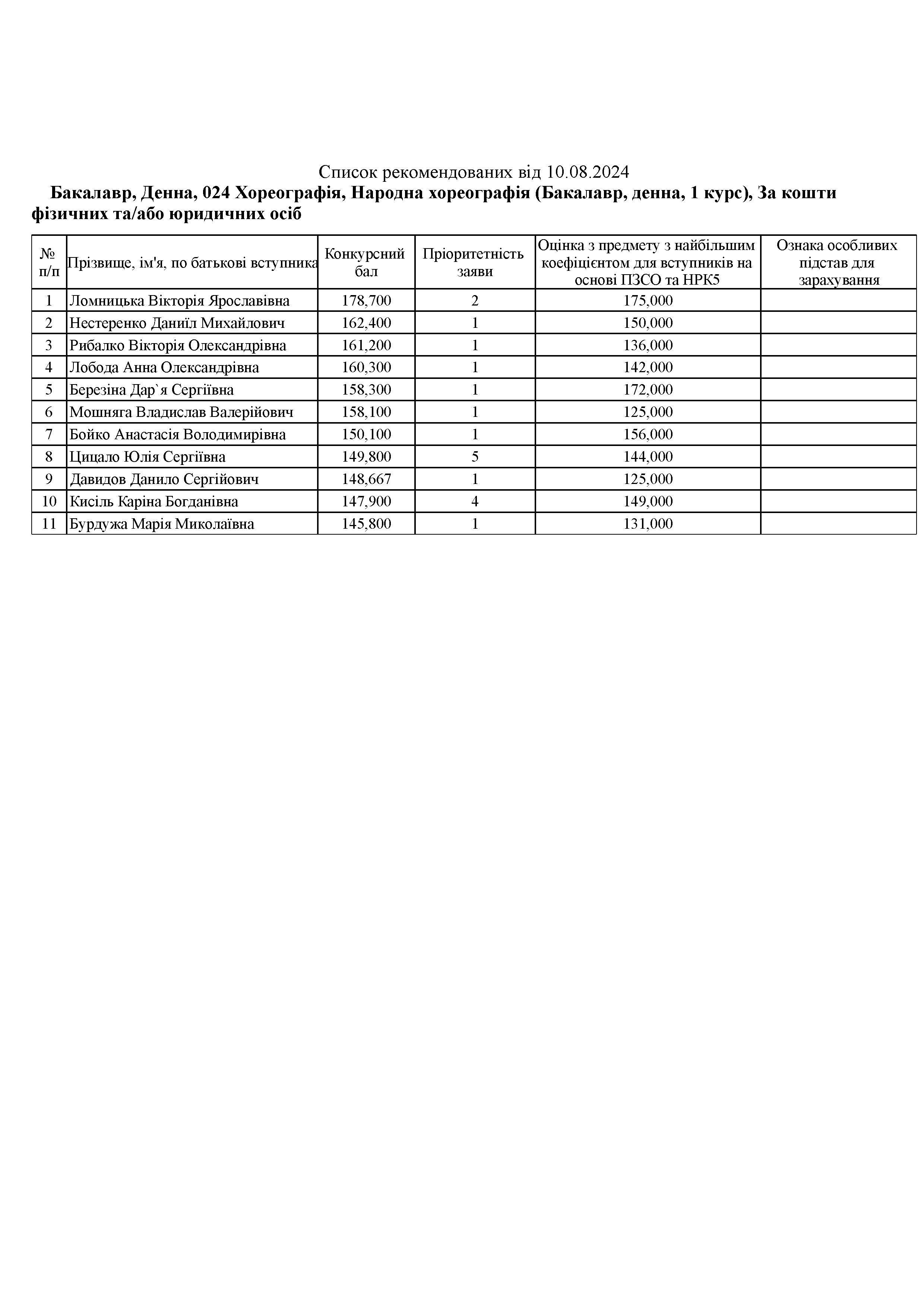
Списки рекомендованих Контракт (ОС Бакалавр)

Контакти

м. Київ, вул. Євгена Коновальця, 36

тел.: (044) 285-44-03, (044) 285-85-27, (068) 540-55-00, (093) 002-74-00

Пошта: office@knukim.edu.ua, abiturient@knukim.edu.ua

Facebook @KNUKiM

Instagram @knu_kim

Ліцензія МОН України, наказ № 53-л від 26 квітня 2021 року